Sidebar

9. Sınıf

  • 9. Sınıf Konu anlatımı

  • 9. Sınıf Matematik Testleri ve Çözümleri

  • 9. SINIF MATEMATİK MÜFREDATI

  • Maarif Matematik

10. sınıf
  • 10. Sınıf Konu anlatımı

  • 10. SINIF MATEMATİK MÜFREDATI

  • 10. Sınıf Matematik Testleri ve Çözümleri

11. Sınıf
  • 11. Sınıf Konu anlatım

  • 11. SINIF MATEMATİK MÜFREDATI

  • 11. Sınıf Matematik Testleri ve Çözümleri

12. Sınıf
  • 12. Sınıf Konu anlatımı

  • 12. Sınıf Matematik Testleri ve Çözümleri

  • 12. SINIF MATEMATİK MÜFREDATI

TYT Matematik
  • TYT KONULARI

  • TYT KONU ANLATIMLARI

  • TYT TEST VE SORU ÇÖZÜMLERİ

AYT MATEMATİK
  • AYT KONULARI (5)

  • AYT KONU ANLATIMLARI (13)

  • AYT TEST VE SORU ÇÖZÜMLERİ (5)

TYT - AYT GEOMETRİ
  • TYT AYT konu anlatımı

  • TYT - AYT TESTLER VE SORU ÇÖZÜMLERİ

SORULAR
  • ÇIKMIŞ SORULAR

Matematik Çözümleri
  • Home
  • ÇÖZÜMLER
    • ESEN 3 RENK YAYINLARI
    • Gür Yayınları Çözümleri
      • Açılar ve Üçgenler Fasikül Çözümleri
  • Facebook
  • Bize Ulaşın

Gür Yayınları Çözümleri

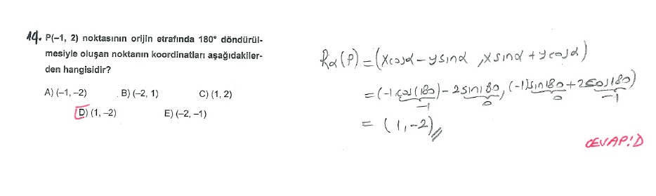
gür yayınları 12.sınıf düzlemde dönme dönüşümü test 8 çözümleri

GÜR YAYINLARI 12.SINIF TRİGONOMETRİ,DÖNÜŞÜMLER VE ÇEMBERİN ANALİTİĞİ FASiKÜLÜ TEST 8 ÇÖZÜMLERİ

  • 01
  • 02
  • 03
  • 04
  • 05
  • 06
  • 07
  • 08
  • 09
  • 10
  • 11
  • 12
  • 13
  • 14

9. Sınıf
  • 9. Sınıf Konu anlatımı

  • 9. Sınıf Matematik Testleri ve Çözümleri

  • 9. SINIF MATEMATİK MÜFREDATI

  • Maarif Matematik

10. sınıf
  • 10. Sınıf Konu anlatımı

  • 10. SINIF MATEMATİK MÜFREDATI

  • 10. Sınıf Matematik Testleri ve Çözümleri

11. Sınıf
  • 11. Sınıf Konu anlatım

  • 11. SINIF MATEMATİK MÜFREDATI

  • 11. Sınıf Matematik Testleri ve Çözümleri

12. Sınıf
  • 12. Sınıf Konu anlatımı

  • 12. Sınıf Matematik Testleri ve Çözümleri

  • 12. SINIF MATEMATİK MÜFREDATI

TYT Matematik
  • TYT KONULARI

  • TYT KONU ANLATIMLARI

  • TYT TEST VE SORU ÇÖZÜMLERİ

AYT MATEMATİK
  • AYT KONULARI

  • AYT KONU ANLATIMLARI

  • AYT TEST VE SORU ÇÖZÜMLERİ

TYT - AYT GEOMETRİ
  • TYT AYT konu anlatımı

  • TYT - AYT TESTLER VE SORU ÇÖZÜMLERİ

SORULAR
  • ÇIKMIŞ SORULAR

Yazılılar
  • 9. sınıf Yazılılar

  • 10. Sınıf yazılılar

  • 11. Sınıf yazılılar

  • 12. Sınıf yazılı

 

Son Eklenenler

  • 9. Sınıf Matematik - 1. Dönem 2. Yazılı Soruları ve Cevapları
  • 2025- 2026 9. SINIF MATEMATİK DERSI - 1. DÖNEM - 1. YAZILI Meb Soruları
  • Matematik 1. Dönem Konu Soru Dağılım Tabloları (2025 - 2026)
  • Maarif 10. Sınıf Matematik konuları
  • Esen yayınları tyt matematik soru bankası kırmızı seri oran orantı çözümleri test 6
  • Esen yayınları tyt matematik soru bankası kırmızı seri oran orantı çözümleri test 5
  • Esen yayınları tyt matematik soru bankası kırmızı seri oran orantı çözümleri test 4
  • Esen yayınları tyt matematik soru bankası kırmızı seri oran orantı çözümleri test 3
  • Esen yayınları tyt matematik soru bankası kırmızı seri oran orantı çözümleri test 2
  • Esen yayınları tyt matematik soru bankası kırmızı seri oran orantı çözümleri test 1

Gür Yayınları

  • GÜR YAYINLARI 12.SINIF ÜSTEL-LOGARİTMİK FONKSİYONLAR MİNİ TEST 48,49,50,51,52 VİDEO ÇÖZÜMLERİ
  • GÜR YAYINLARI 12.SINIF ÜSTEL-LOGARİTMİK FONKSİYONLAR MİNİ TEST 38,39,....46,47 VİDEO ÇÖZÜMLERİ
  • GÜR YAYINLARI 12.SINIF ÜSTEL-LOGARİTMİK FONKSİYONLAR MİNİ TEST 30,31,32,....36,37 VİDEO ÇÖZÜMLERİ
  • GÜR YAYINLARI 12.SINIF ÜSTEL-LOGARİTMİK FONKSİYONLAR MİNİ TEST 23,24,25,....28,29 VİDEO ÇÖZÜMLERİ
  • GÜR YAYINLARI 12.SINIF ÜSTEL-LOGARİTMİK FONKSİYONLAR MİNİ TEST 11,12,....21,22 VİDEO ÇÖZÜMLERİ
  • GÜR YAYINLARI 12.SINIF ÜSTEL-LOGARİTMİK FONKSİYONLAR MİNİ TEST 1,2,3.....9,10 VİDEO ÇÖZÜMLERİ
  • gür yayınları 10.sınıf sayma ,olasılık ve fonksiyonlar fasikülü mini test 13,14,15,....20,21 çözümleri
  • gür yayınları 10.sınıf sayma ,olasılık ve fonksiyonlar fasikülü mini test 9,10,11,12 çözümleri
  • gür yayınları 10.sınıf sayma ,olasılık ve fonksiyonlar fasikülü mini test 1,2,3...7,8 çözümleri
  • GÜR YAYINLARI 9.SINIF MANTIK, KÜMELER VE KARTEZYEN ÇARPIM FASİKÜLÜ MANTIK MİNİ TEST 1,2,3....13,14 VİDEO ÇÖZÜMLERİ
 

bodrum nakliyat   Paça eşya nakliyat

9. sınıf maarif Matematik Çözümleri

10. sınıf maarif Matematik Çözümleri

Matematik çözümler ders çalışma maarif matematik çözümleri Font Awesome font licensed under SIL OFL 1.1.
Powered by BaSaRaN BeKTaS